Online Database of Chemicals from Around the World

Cyanoethyl sucrose SDS (CAS 18304-13-7)

This page provides the Safety Data Sheet (SDS) for Cyanoethyl sucrose (CAS 18304-13-7), including information on hazards, first-aid measures, storage, handling requirements, and more. Users may download the SDS file free of charge for laboratory or industrial reference.

Product Info

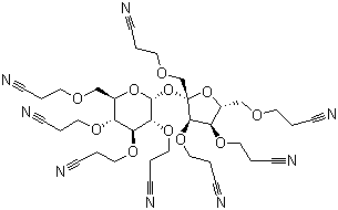
structure of CAS# 18304-13-7, Cyanoethyl sucrose;Octakis-O-(2-cyanoethyl)sucrose
Product Name Cyanoethyl sucrose
CAS Registry Number 18304-13-7
Molecular Formula C36H46N8O11
Molecular Weight 766.80
More information of Cyanoethyl sucrose
 
Source SDS Document
Alfa-Aesar
www.alfa.com/en/content/msds/USA/A18122.pdf
View / download

Disclaimer

The SDS samples above are collected from the Internet by chemBlink and displayed here for the tutorial purpose only. chemBlink LLC provides the information contained herein in good faith but makes no representation as to its comprehensiveness or accuracy. Read full context...



Frequently Asked Questions (FAQ)
What is an SDS?   How do I download an SDS?   Are SDSs free?   What is the difference between SDS and MSDS?



More SDS files for chemicals
tert-Butyl...   Ethyl (2E)-2-Cy...   Ethyl 2-cyano-3...   n-Pentadecanoni...   tert-Butyl...   3-Amino-6-chlor...   Dimethyl...   1-Ethylbenz(cd)...   4-Hydroxymethyl...   tert-Butyl...