Online Database of Chemicals from Around the World

alpha-Amatoxin SDS (CAS 23109-05-9)

This page provides the Safety Data Sheet (SDS) for alpha-Amatoxin (CAS 23109-05-9), including information on hazards, first-aid measures, storage, handling requirements, and more. Users may download the SDS file free of charge for laboratory or industrial reference.

Product Info

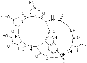
structure of CAS# 23109-05-9, alpha-Amatoxin;alpha-Amanitine
Product Name alpha-Amatoxin
CAS Registry Number 23109-05-9
Molecular Formula C39H54N10O14S
Molecular Weight 918.97
More information of alpha-Amatoxin
 
Source SDS Document
Sigma-Aldrich
www.sigmaaldrich.com/catalog/Lookup.do?N5=All&N3=mode+matchpartialmax&N1=S_ID&ST=RS&N25=0&F=PR&D7=0&N4=23109-05-9
View / download
Cayman
www.caymanchem.com/msdss/17898m.pdf
View / download

Disclaimer

The SDS samples above are collected from the Internet by chemBlink and displayed here for the tutorial purpose only. chemBlink LLC provides the information contained herein in good faith but makes no representation as to its comprehensiveness or accuracy. Read full context...



Frequently Asked Questions (FAQ)
What is an SDS?   How do I download an SDS?   Are SDSs free?   What is the difference between SDS and MSDS?



More SDS files for chemicals
2-Chloropyridin...   Phosalone   Sodium...   Pirimicarb   Methyl(tripheny...   Fumagillin   3-Carbamoyl-1-b...   1-Bromo-1-Fluor...   4-(2,4-Dimethox...   2,6-Dimethoxyph...