全球化学品在线数据库

3A,3B,3C,3D,6E,6F,6G-七-O-(羧甲基)-beta-环糊精 化学品安全技术说明书 (CAS 218269-34-2)

本页面提供 3A,3B,3C,3D,6E,6F,6G-七-O-(羧甲基)-beta-环糊精 (CAS 218269-34-2) 的化学品安全技术说明书 (SDS),包括危险性、急救措施、储存与操作要求等信息。用户可免费下载 SDS 文件用于实验室或工业参考。

产品概述

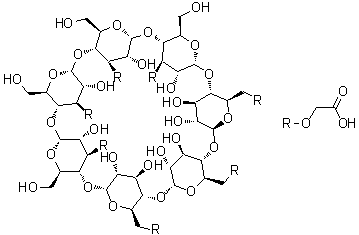
结构式 CAS# 218269-34-2, 3A,3B,3C,3D,6E,6F,6G-七-O-(羧甲基)-beta-环糊精
产品名称 3A,3B,3C,3D,6E,6F,6G-七-O-(羧甲基)-beta-环糊精
CAS 登录号 218269-34-2
分子式 C56H84O49
分子量 1541.24
3A,3B,3C,3D,6E,6F,6G-七-O-(羧甲基)-beta-环糊精的详细资料
 
资料来源 SDS 样本
Ambeed
file.ambeed.com/static/upload/prosds/am/328/SDS-A327386.pdf
浏览或下载

免责声明

本页所列之化学品安全技术说明书样本系 chemBlink 公司搜集的互联网公开信息,仅用于指导化学品安全技术说明书的编辑与制作。chemBlink 竭诚提供可靠信息,然而不承诺其完备与准确。 阅读全文...



常见问题 (FAQ)
什么是 SDS?   如何下载 SDS?   SDS 是否免费?   SDS 和 MSDS 有什么区别?



相关化学品安全技术说明书
4-(5-甲酰基-2...   文多灵   2-甲基-2-(苯基...   环己基乙烯基醚   二甲基二乙酰氧基硅烷   2-巯基-6-甲氧基...   N-1-Boc-N-...   (S)-3-氨基-5...   4-(1,3-苯并噻...   2-氯-N-(3-氰...