| 产品概述 | |
| |
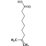
| 产品名称 | 8-甲基-8-壬烯酸 |
| CAS 登录号 | 42150-00-5 |
| 分子式 | C10H18O2 |
| 分子量 | 170.25 |
| 8-甲基-8-壬烯酸的详细资料 | |
| 资料来源 | SDS 样本 |
| Matrix www.matrixscientific.com/media/msds/10/30/68/MxMSDS_103068.pdf |
浏览或下载 |
|
免责声明 本页所列之化学品安全技术说明书样本系 chemBlink 公司搜集的互联网公开信息,仅用于指导化学品安全技术说明书的编辑与制作。chemBlink 竭诚提供可靠信息,然而不承诺其完备与准确。 阅读全文... |
|