全球化学品在线数据库

3-[3-(胆酰胺丙基)二甲氨基]丙磺酸内盐 化学品安全技术说明书 (CAS 75621-03-3)

本页面提供 3-[3-(胆酰胺丙基)二甲氨基]丙磺酸内盐 (CAS 75621-03-3) 的化学品安全技术说明书 (SDS),包括危险性、急救措施、储存与操作要求等信息。用户可免费下载 SDS 文件用于实验室或工业参考。

产品概述

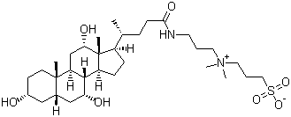
结构式 CAS# 75621-03-3, 3-[3-(胆酰胺丙基)二甲氨基]丙磺酸内盐
产品名称 3-[3-(胆酰胺丙基)二甲氨基]丙磺酸内盐
CAS 登录号 75621-03-3
分子式 C32H58N2O7S
分子量 614.88
3-[3-(胆酰胺丙基)二甲氨基]丙磺酸内盐的详细资料
 
资料来源 SDS 样本
Alfa-Aesar
www.alfa.com/en/content/msds/USA/B21927.pdf
浏览或下载
TCI
www.spectrumchemical.com/MSDS/TCI-C1578.pdf
浏览或下载
Apollo
www.apolloscientific.co.uk/downloads/msds/BIMB1085_msds.pdf
浏览或下载

免责声明

本页所列之化学品安全技术说明书样本系 chemBlink 公司搜集的互联网公开信息,仅用于指导化学品安全技术说明书的编辑与制作。chemBlink 竭诚提供可靠信息,然而不承诺其完备与准确。 阅读全文...



常见问题 (FAQ)
什么是 SDS?   如何下载 SDS?   SDS 是否免费?   SDS 和 MSDS 有什么区别?



相关化学品安全技术说明书
二溴二氟甲烷   三活菌素   三氟甲烷磺酸丁酯   2,3-二氯-6-硝...   苯磺酸新戊酯   1-甲基环丁烷甲酸甲...   1,2,3,4,6,...   松萝酸   2,5-二氟苯甲醚   3,6-二氟-2-甲...