| 产品概述 | |
| |
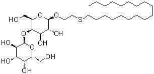
| 产品名称 | 2-(十八烷基硫基)乙基 4-O-alpha-D-吡喃半乳糖基-beta-D-吡喃半乳糖苷 |
| CAS 登录号 | 87019-34-9 |
| 分子式 | C32H62O11S |
| 分子量 | 654.89 |
| 2-(十八烷基硫基)乙基 4-O-alpha-D-吡喃半乳糖基-beta-D-吡喃半乳糖苷的详细资料 | |
| 资料来源 | SDS 样本 |
| Sigma-Aldrich www.sigmaaldrich.com/catalog/Lookup.do?N5=All&N3=mode+matchpartialmax&N1=S_ID&ST=RS&N25=0&F=PR&D7=0&N4=87019-34-9 |
浏览或下载 |
|
免责声明 本页所列之化学品安全技术说明书样本系 chemBlink 公司搜集的互联网公开信息,仅用于指导化学品安全技术说明书的编辑与制作。chemBlink 竭诚提供可靠信息,然而不承诺其完备与准确。 阅读全文... |
|