全球化学品在线数据库

单-2-O-(P-甲苯磺酰基)-alpha-环糊精 化学品安全技术说明书 (CAS 93184-10-2)

本页面提供 单-2-O-(P-甲苯磺酰基)-alpha-环糊精 (CAS 93184-10-2) 的化学品安全技术说明书 (SDS),包括危险性、急救措施、储存与操作要求等信息。用户可免费下载 SDS 文件用于实验室或工业参考。

产品概述

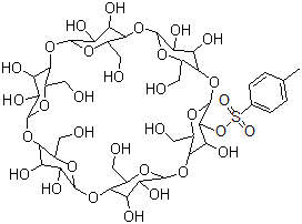
结构式 CAS# 93184-10-2, 单-2-O-(P-甲苯磺酰基)-alpha-环糊精
产品名称 单-2-O-(P-甲苯磺酰基)-alpha-环糊精
CAS 登录号 93184-10-2
分子式 C45H74O32S
分子量 1159.11
单-2-O-(P-甲苯磺酰基)-alpha-环糊精的详细资料
 
资料来源 SDS 样本
TCI
www.spectrumchemical.com/MSDS/TCI-M1956.pdf
浏览或下载

免责声明

本页所列之化学品安全技术说明书样本系 chemBlink 公司搜集的互联网公开信息,仅用于指导化学品安全技术说明书的编辑与制作。chemBlink 竭诚提供可靠信息,然而不承诺其完备与准确。 阅读全文...



常见问题 (FAQ)
什么是 SDS?   如何下载 SDS?   SDS 是否免费?   SDS 和 MSDS 有什么区别?



相关化学品安全技术说明书
顺式-1,4-环己二...   3,4-二甲氧基苯乙...   3-羟基-6-甲氧基...   1-氯-1-甲基环己...   5'-O-(4,4-...   2-萘乙醚   5-氨基-1,2,4...   2,3-二氢-5-(...   5-氮杂胞嘧啶   顺式-环辛烯