| 卡博森斯化学科技 (苏州) 有限公司 | 中国 | |||
|---|---|---|---|---|
![]() | www.carbosynth.cn | |||
![]() | +86 (512) 6260-5585 | |||
![]() | +86 (512) 6260-5576 | |||
![]() | sales@carbosynth.com | |||
![]() | QQ Chat | |||
| 化学品生产商 (2006年起) | ||||
| chemBlink 标准供应商 (2016年起) | ||||
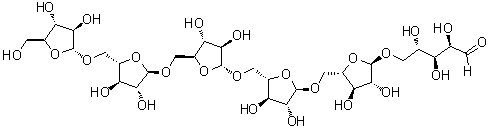
| 产品名称 | 阿拉伯六糖 |
|---|---|
| 英文名 | Arabinohexaose |
| 别名 | O-alpha-L-Arabinofuranosyl-(1→5)-O-alpha-L-arabinofuranosyl-(1→5)-O-alpha-L-arabinofuranosyl-(1→5)-O-alpha-L-arabinofuranosyl-(1→5)-O-alpha-L-arabinofuranosyl-(1→5)-L-arabinose |
| 分子结构 | ![]() |
| 分子式 | C30H50O25 |
| 分子量 | 810.70 |
| CAS 登录号 | 190852-26-7 |
| EC 号码 | 894-820-3 |
| 溶解度 | 略溶 (14 g/L) (25 °C), 计算值* |
|---|---|
| 密度 | 1.77±0.1 g/cm3 (20 °C 760 Torr), 计算值* |
| * | 使用计算机软件 Advanced Chemistry Development (ACD/Labs) Software V11.02 (©1994-2016 ACD/Labs) |
| 市场分析报告 |