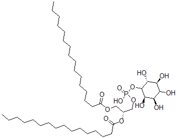
基本信息
| 产品名称 |
D-Myo-肌醇 1-(2R)-2,3-二(1-氧代十六烷基)氧基丙基磷酸氢酯 |
| 英文名 |
D-Myo-Inositol, 1-(2R)-2,3-Bis(1-Oxohexadecyl)Oxypropyl Hydrogen Phosphate |
| 别名 |
[(2R)-2-Hexadecanoyloxy-3-[Hydroxy-[(2R,3R,5S,6R)-2,3,4,5,6-Pentahydroxycyclohexoxy]Phosphoryl]Oxy-Propyl] Hexadecanoate; Hexadecanoic Acid [(2R)-3-[Hydroxy-[(2R,3R,5S,6R)-2,3,4,5,6-Pentahydroxycyclohexoxy]Phosphoryl]Oxy-2-(1-Oxohexadecoxy)Propyl] Ester; Palmitic Acid [(2R)-2-Hexadecanoyloxy-3-[Hydroxy-[(2R,3R,5S,6R)-2,3,4,5,6-Pentahydroxycyclohexoxy]Phosphoryl]Oxy-Propyl] Ester |
|
| 分子结构 |
 |
| 分子式 |
C41H79O13P |
| 分子量 |
811.04 |
| CAS 登录号 |
28366-80-5 |
| 分子行输入简码 SMILES |
[C@H]1(O)C(O[P](OC[C@H](OC(=O)CCCCCCCCCCCCCCC)COC(=O)CCCCCCCCCCCCCCC)(O)=O)[C@H](O)[C@@H](O)C(O)[C@H]1O |
| 国际化学标识码 InChI |
1S/C41H79O13P/c1-3-5-7-9-11-13-15-17-19-21-23-25-27-29-34(42)51-31-33(32-52-55(49,50)54-41-39(47)37(45)36(44)38(46)40(41)48)53-35(43)30-28-26-24-22-20-18-16-14-12-10-8-6-4-2/h33,36-41,44-48H,3-32H2,1-2H3,(H,49,50)/t33-,36?,37-,38+,39-,40-,41?/m1/s1 |
| 国际化学标识检索码 InChIKey |
IBUKXRINTKQBRQ-FOENULIHSA-N |
|